ANNOUNCEMENT
West Tallahatchie School District
Make Up Day
Monday, April 6, 2026

ANNOUNCEMENT
WTSD Food Service Department Acknowledgements for February 2026
Myisha McAbee - Staff Member Month
Perfect Attendance
Mary McNeal - Perfect Attendance
Edna Jones - Perfect Attendance
Christine Garner - Perfect Attendance
Donald Byrd - Perfect Attendance
Lashonda Love - Perfect Attendance
“These awards are proudly presented
in recognition of outstanding dedication, professionalism, and commitment to excellence in food service.”
Congratulations On Your Achievements!






ANNOUNCEMENT
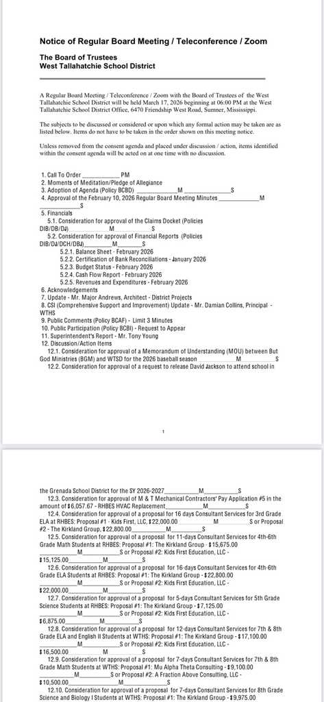
A Regular Board Meeting / Teleconference / Zoom with the Board of Trustees of the West Tallahatchie School District will be held March 17, 2026 beginning at 06:00 PM at the West Tallahatchie School District Office, 6470 Friendship West Road, Sumner, Mississippi.
wtsdschools.org



FLYER ANNOUNCEMENT

FLYER ANNOUNCEMENT

Happy School Board Member Recognition Week!
February 16-20, 2026
Ms. LaTrencia Bounds
WTSD Board of Trustee - District 5
Ms. LaTrencia Bounds is the daughter of LaTrenda Bounds. She is a newly elected board member for District 5 and a 2020 graduate of West Tallahatchie High School. She earned an Associate of Arts degree from Mississippi Delta Community College in 2023 and is currently enrolled at the University of Memphis. She demonstrates a strong dedication to leadership, service, and community engagement through her academic pursuits and civic involvement.
Ms. Bounds is actively involved in her community at Mt. Levy M.B. Church where she participates in the choir and serves as a youth director. In addition, she leads the Girl Scouts of Tallahatchie County and is dedicated to supporting youth development and community service initiatives that foster growth, leadership, and a positive impact.
“Because of your commitment, students dream bigger, teachers feel supported, and communities thrive.”



FLYER ANNOUNCEMENT
wtsdschools.org

Happy School Board Member Recognition Week!
February 16-20, 2026
Mrs. Sharon E. Jackson-Bailey
WTSD Board of Trustee – District 4
Mrs. Sharon E. Jackson-Bailey was married to the late Mr. Clifton H. Bailey. She was born on November 11, 1965 to the late Joyce A. Jackson in Tutwiler, Mississippi and currently resides in Webb, Mississippi. She is the oldest of four children and the proud mother of one son, Xavier Bailey, and one adopted son, Jamarria Bailey.
Mrs. Bailey is a 1983 graduate of West Tallahatchie High School in Webb, Mississippi. She earned an Associate of Arts degree from Coahoma Community College in 2012, a Bachelor of Social Work degree from Mississippi Valley State University in 2014, and a Master’s degree in Healthcare Administration from Grantham University in 2017. She dedicated 33½ years of service to the Mississippi Department of Corrections in Parchman, Mississippi, serving from November 1987 until her retirement in January 2021. Following her retirement, she was employed as a receptionist with the Women's Clinic of Clarksdale from November 2021 through November 2025.
In 2018, Mrs. Bailey became a member of Alpha Kappa Alpha Sorority, Incorporated where she remains an active participant. Her commitment to public service includes her appointment to the West Tallahatchie School Board of Trustees in 2020 and her election in 2025. In January 2026, she was sworn in and nominated to serve as President of the Board.
In February 2024, Mrs. Bailey was appointed Constable of Tallahatchie County District 2 and was subsequently elected to the position in the November 2024 general election. She also serves as a bailiff in the Tallahatchie County Justice Court and has previously served as a substitute teacher in the West Tallahatchie School District. Additionally, she is a devoted member of Mt. Levy Missionary Baptist Church where she faithfully serves as an usher.
“With sincere thanks for your dedication to our students and community.”





Happy Board Member Appreciation Week!
February 16-20, 2026
Mrs. Gloria Madden-Carter
West Tallahatchie Board of Trustees-District 3
Mrs. Gloria Madden-Carter, age 52, was born on February 22, 1973. She is the second oldest child of Miss Fannie Madden and is married to Mark Carter, Sr. Mrs. Carter is a proud mother of three children: Andrenita (Gregory) Humphrey, Markevious Carter, and Markatlyn Carter. She lovingly raised her niece, Cordeashia Madden, as her own. She is a devoted grandmother to Joshton and Leigh Amber Humphrey. She also embraces Crystal (Jay) Brown and Mark Carter, Jr. as her children, along with four additional grandchildren whom she loves dearly.
A dedicated lifelong learner, Mrs. Carter is a graduate of West Tallahatchie High School, Class of 1991. She furthered her education at Coahoma Community College, graduating in 2007 and again in 2009.
Mrs. Carter is currently serving her second term on the West Tallahatchie Board of Trustees as Board Secretary. She remains committed to supporting educational excellence and ensuring the continued success of students throughout her community and school district.
She is a faithful member of Fairway Christian Church in Senatobia, Mississippi under the leadership of Pastor Ryan Chris Fairlee.
“Thank you for your time, talent, and tireless service!”


FLYER ANNOUNCEMENT

Happy School Board Recognition Week! February 16-20, 2026 Mr. Marvin F. George WTSD Board of Trustee – District 2 Mr. Marvin F. George was elected to serve as a member of the Board of Trustees of the West Tallahatchie School District on November 9, 2015. This special election was held to fill the unexpired term of his late father, Mr. Charles M. George. Mr. George was officially sworn into office on December 8, 2015. Mr. George is the third son of the late Charles M. George and Alpha R. Lockett George. He is married to Hattie Bronner George, and together they have four adult children and nine grandchildren. A proud member of the Class of 1983, Mr. George is a graduate of West Tallahatchie High School. Mr. George represents District 2 of the West Tallahatchie School District. District 2 includes portions of the area beginning at the West Tallahatchie River Bridge on Highway 32 toward Webb; parts of Webb and Sumner east of the railroad tracks; areas north along the back roads to Tutwiler, including the inner circle of Mayflower Circle; Highway 3 toward Vance; and Highway 321 from the Quitman County line heading south, including the Brazil community ."In grateful recognition of your dedicated service and unwavering commitment to student success.”



WTSD continue to celebrate Black History Month for the month of February 2026.
“Honoring the past, celebrating the present, inspiring the future.”
wtsdschools.org

Choctaw Fans,
The Mighty Choctaws will host Tupelo Christian this evening in the Bernard Berryhill Gymnasium in the first round of the state playoffs tournament. Game time is 6:00 p.m. Tickets may be purchased online at gofan.co or at the game’s entrance. Please come out and support our Mighty Choctaws!💚
In addition, you may visit the link below for the official end of the game score and stats.
https://www.maxpreps.com/ms/webb/west-tallahatchie-choctaws/basketball/girls/schedule
Go Mighty Choctaws!
#GoFightWin
Please be informed also if you can’t make it to the game this evening, you may watch the game on the folliwing network links below.
https://www.nfhsnetwork.com/events/west-tallahatchie-hs-webb-ms/gam2cd7dde0e3
varsitysports.official-live.net/hs-basketball.php?live=Smithville%20vs%20West%20Tallahatchie



ANNOUNCEMENT
WTSD Food Service Department Acknowledgements for January 2026
Sherron Turner - Staff Member of Month/Perfect Attendance
Edna Jones - Perfect Attendance
Myisha’s McAbee - Perfect Attendance
Abbie Jones - Perfect Attendance
Lashonda Love - Perfect Attendance
Christine Garner - Perfect Attendance






Happy School Board Member Recognition Week!
February 16-20, 2026
Ms. Lucinda Berryhill
WTSD Board of Trustee – District 1
Ms. Lucinda Berryhill, age 70, was born on April 29, 1955, in Tutwiler, Mississippi. She is the seventh of thirteen children and is the proud mother of three children—Bernard Berryhill, Charlander Berryhill, and Courtney Berryhill-Reynolds—as well as five grandchildren.
In November 1991, Ms. Berryhill was elected to serve as a member of the Board of Trustees of the West Tallahatchie School District, making history as the first female to serve on the West Tallahatchie School Board. Throughout her tenure, she has remained steadfast in her commitment to the community, student achievement, and academic excellence. She actively promotes parental involvement, advocates for the interests of children, and supports safe and orderly schools.
Ms. Berryhill began her employment at the Tutwiler Education Center in 1988 and continues to serve there with dedication. She is also a faithful member of Mt. Calvary Baptist Church in Tutwiler, Mississippi, where she sings in the choir and serves on the Pastor’s Aide and Kitchen Committees.
“School board members are the backbone of strong schools. Thank you for guiding WTSD with integrity and care.”


Choctaw Fans,
Please be informed that if you cannot make it to the game this evening, you may watch the game on the folliwing network links below.
https://www.nfhsnetwork.com/events/west-tallahatchie-hs-webb-ms/gam2cd7dde0e3
varsitysports.official-live.net/hs-basketball.php?live=Smithville%20vs%20West%20Tallahatchie
Go Lady Choctaws!

Happy School Resource Officer Day!
“Thank you to our School Resource Officers for your commitment to safety, leadership, and positive relationships. Our schools are better because of you.”
Thank You!


Happy President's Day!

Choctaw Fans,
The Lady Choctaws will host Smithville High School this evening in the Bernard Berryhill Gymnasium in the first round of the state tournament. Game time is 6:00 p.m. Tickets may be purchased online at gofan.co or at the game’s entrance. Please come out and support our Lady Choctaws!💚
In addition, you may visit the link below for all official end of the game scores and stats.
https://www.maxpreps.com/ms/webb/west-tallahatchie-choctaws/basketball/girls/schedule
Go Mighty Choctaws!
#GoFightWin
wtsdschools.org



REMINDER
Great day, Choctaw fans! 💚🤍
Region 4-1A Division Championship Tournament Update! 💚🤍
Our boys and girls mighty Choctaws will be traveling to the host site, Houlka Attendance Center in Houlka, Mississippi this evening to play in the district championship game. 🤍💚
Best of luck to our scholar-athletes as they compete with pride, heart, and determination. 💚🤍 Let's cheer them on and bring home the gold! 🏆💪 Go Mighty Choctaws! 💚🤍



